低频振动激励煤体共振增渗实验系统研制及应用

R&D and application of an experimental system for coal permeability enhancement through resonance under the excitation of low-frequency vibration

  • 摘要:
    目的 振动波激励煤体共振增渗技术作为一种新兴的绿色高效增渗手段,利用低频振动所产生的应力波激励煤体使其孔裂隙发育,渗透率提升。为研究激励频率、应力场及共振效应等因素对增渗效果的影响,探明低频振动激励煤体共振增渗机制,自主设计研发了低频振动激励煤体增渗实验系统。
    方法 该实验系统包括主机控制单元、煤样夹持单元、振动激励单元与煤体振动参数监测单元四个部分,可以测试煤体的固有频率、模拟不同强度的激励条件和实时监测振动激励下煤体的振动响应特征。以河南焦作赵固二矿无烟煤样品为研究对象,利用该实验系统开展煤体固有频率测试实验及低频振动激励下煤体渗流实验,揭示在不同激振参数、应力大小等因素下低频振动激励煤体渗透特性变化规律,实现煤体原位受迫振动,通过监测煤体振动响应特征,观测煤体在低频振动激励下所出现的共振效应,并结合工业CT扫描技术,阐明煤体共振致裂增渗的影响机制。
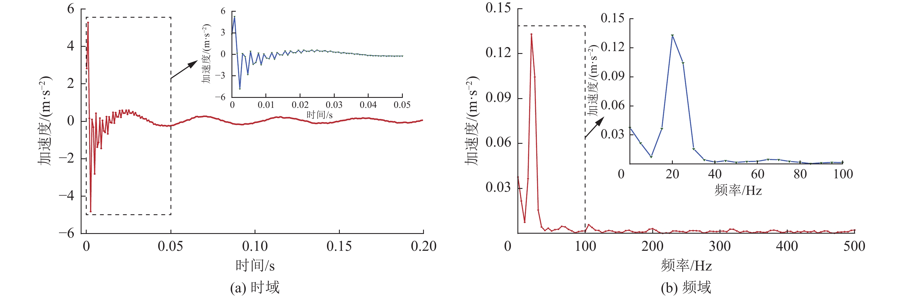
    结果和结论 实验结果表明:(1)低频振动作用促使煤体渗透率上升,越靠近煤岩损伤的临界失稳状态时低频振动激励下煤体增渗效果越好。(2)当低频振动激励频率与煤体固有频率(20 Hz)相接近时煤体产生共振效应,煤体受迫共振后加速度响应加大,煤岩体内部的微裂隙逐渐扩展,煤基质内部的孔裂隙连通,使得其渗透率提升效果显著。上述实验结果及实验设备的研发,可以揭示低频振动激励煤体共振增渗的影响机制,为低渗煤层瓦斯高效抽采提供理论指导。

     

    Abstract:
    Objective As an emerging green, efficient method for enhancing coal permeability, coal resonance under the excitation of vibration waves works by stimulating the development of pores and fractures in coals using the stress waves generated by low-frequency vibration. To investigate the impacts of excitation frequency, stress field, and resonance effect on permeability enhancement, as well as exploring the mechanisms behind coal permeability enhancement using the method, this study independently designed and developed an experimental system.
    Methods The system, consisting of a mainframe control unit, a coal-sample clamping unit, a vibrational excitation unit, and a coal vibration parameter monitoring unit, allows for testing the natural frequency of coals, simulating excitation conditions with varying intensities, and real-time monitoring of the vibration response characteristics of coal under the vibrational excitation. Using this system, this study examined the anthracite samples from the Zhaogu No. 2 Coal Mine in Jiaozuo, Henan Province. Through experiments on the natural frequency of coals and their seepage under the excitation of low-frequency vibration, this study revealed the variation patterns of coal permeability under the excitation of low-frequency vibration with different excitation parameters and stress magnitudes, achieving the in-situ forced vibration of coals. This study observed the resonance effect of coals under the excitation of low-frequency vibration by monitoring the vibration response characteristics of coals. Based on this, as well as industrial CT, this study elucidated the mechanisms behind coal permeability enhancement through resonance-induced fracturing.
    Results and Conclusions The experimental results are outlined as follows: (1) Low-frequency vibration enhanced the coal permeability, and more effective permeability enhancement of coals was achieved in the case where the coal-rock damage approached its critical instability. (2) The coals produced a resonance effect when the vibrational frequency approached their natural frequency (20 Hz). The forced resonance of the coals was accompanied by increased acceleration response, the gradual propagation of microfractures inside coals and rocks, and the interconnection of pores and fractures inside the coal matrix, thus significantly enhancing the coal permeability. These experimental results and the R&D of the experimental system can reveal the mechanisms behind coal permeability enhancement through resonance under the excitation of low-frequency vibration, thus serving as a theoretical guide for efficient gas extraction from low-permeability coal seams.

     

/

返回文章
返回