不同加载速率下青砂岩破裂演化规律及能量利用效率分析

Fracturing evolutionary law and energy utilization efficiency of green sandstones under different loading rates

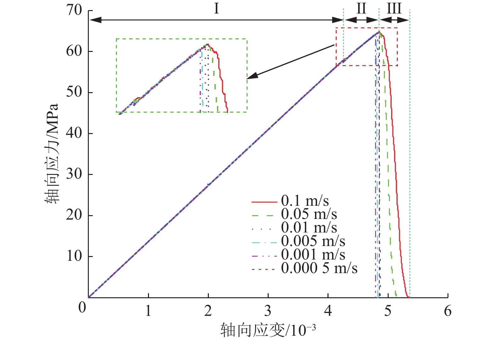
  • 摘要: 【目的】研究不同加载速率下岩石破裂演化规律及能量利用效率是岩石破碎加工领域亟待解决的问题。【方法】基于室内试验进行青砂岩细观参数标定,建立青砂岩宏−细观力学响应关系,采用颗粒流程序,研究不同加载速率下青砂岩应力−应变曲线与应力链分布特征,从破裂特征与裂纹特点方面分析青砂岩的破裂演化规律,并分析青砂岩破裂过程中的能量利用效率。【结果和结论】结果表明:(1)青砂岩在破裂过程中,应力−应变曲线表现为峰前线弹性、峰前塑性变形和峰后逐步失稳阶段,拉力链导致青砂岩裂纹扩展,最终破裂是压力和拉力链相互作用的结果。(2)不同加载速率下,青砂岩破裂可分为剪切破裂、贯穿破裂及混合多级破裂阶段,剪切与贯穿破裂阶段是剪切力起主要作用,而混合多级破裂是拉伸力主导的破裂模式。拉伸裂纹在破裂过程中起主导作用,生成速率明显高于剪切裂纹,总裂纹生成速率达2 400.81 m/s。(3)青砂岩断裂能的演化可分为缓慢增加、急剧增大与趋于稳定阶段,在加载速率为0.05 m/s时,最大能量利用效率为0.088%。研究结果不仅从细观层面对岩石破裂演化规律及能量利用效率进行了初步探索,也可为岩石破碎过程中工艺参数的合理选择提供指导。

     

    Abstract: Objective This study aims to explore the fracturing evolutionary laws and energy utilization efficiency of rocks under different loading rates is a pressing issue in the field of rock fragmentation and processing. Methods To this end, the microscopic parameters of green sandstones were calibrated based on laboratory tests, followed by the identification of relationships between the macro- and microscopic mechanical responses of the sandstones. Using Particle Flow Code (PFC), this study investigated the stress-strain curves and stress chain distribution of green sandstones under different loading rates. Then, based on the fracturing and crack characteristics, this study analyzed the fracturing evolutionary laws, and analyzed the energy utilization efficiency during the fracturing process of green sandstones. Results and Conclusions The results indicate that: (1) The stress-strain curves obtained during the fracturing of green sandstones exhibited the stages of pre-peak linear elasticity, pre-peak plastic deformations, and post-peak progressive destabilization. The tensile chains lead to crack propagation in green sandstones, and the eventual failure of the sandstones was caused by the interactions between pressure and tensile chains. (2) Under varying loading rates, green sandstones experienced the stages of shear fracturing, penetrating fracturing, and mixed multistage fracturing. The fracturing in the former stages was primarily caused by shear force, while tensile force predominated in the last stage. Tensile cracks were primarily found throughout the rock fracturing. These cracks exhibited a formation rate significantly higher than shear cracks, with an overall crack generation rate reaching up to 2400.81 m/s. (3) The failure energy of green sandstones evolved from slow increase to rapid increase and then to stabilization. The energy utilization efficiency peaked at 0.088% when the loading rate was 0.05 m/s. This study conducted a preliminary exploration into the fracturing evolutionary laws and energy utilization efficiency of rocks microscopically, and the results serve as a guidance for selecting rational process parameters for rock fracturing.

     

/

返回文章
返回