Abstract:
Objective Magnetotelluric sounding is an exploration method to obtain the underground electrical structure by observing the natural electromagnetic field, which is easily disturbed by noise. Impulse noise, frequently occurring in magnetotelluric sounding, generally exhibits high amplitude and wide frequency bands, producing significant impacts on the data quality.
Methods To suppress such noise, this study proposed a method based on a bidirectional recurrent imputation for time series (BRITS) model. First, the data segments with noise interference were deleted. Second, for the magnetotelluric time series with missing data to be imputed, training sets were constructed for imputation training of the BRITS model. Third, imputation was conducted to supplement the missing data, yielding the denoising results. Last, the proposed method was applied to process the simulated and measured data with noise, and the application results were compared with the results derived using the empirical mode decomposition (EMD) threshold method.
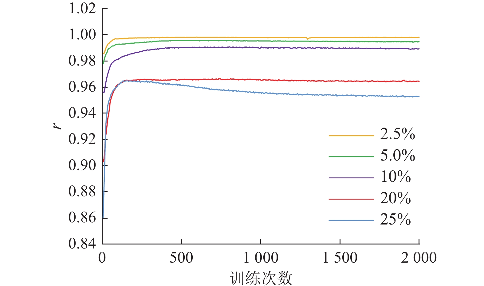
Results and Conclusions The results of this study are as follows: (1) Relative to the original data, the simulated data with noise, after being processed using the BRITS method, manifested normalized cross-coefficient reaching up to 0.999 and signal-to-noise ratios of over 29 dB. In contrast, the simulated noise data, after being treated using the EMD threshold method displayed cross-coefficient of 0.778 and signal-to-noise of 3.09 dB. (2) In the processing of the measured data, the BRITS method effectively restored the data with noise interference, with the obtained Nyquist diagram closer to the characteristics of natural magnetotelluric signals compared to the EMD threshold method. (3) As indicated by the test results of different training samples, in the case where four-component magnetotelluric data contain at least two normal components, with the proportion of noise in a single unnormal component not exceeding 20% and the continuous noise interference length of 10 sampling points or less, the data denoised using the BRITS method can yield cross-coefficient exceeding 0.96, thus ensuring certain denoising accuracy.