露天煤矿开采侧向帷幕控水原理与截水效果数值分析以元宝山露天煤矿为例

Water control principle of lateral water cutoff curtain and numerical analysis of its water interception effect in Yuanbaoshan open-pit coal mineTaking Yuanbaoshan Open-pit Coal Mine as an example

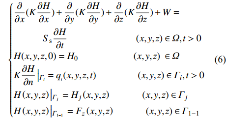
  • 摘要: 露天煤矿开采过程中的矿坑疏排水是引起地下水资源流失的重要原因,寻求新的控水方法势在必行。以内蒙古赤峰市元宝山露天煤矿为研究对象,根据研究区水文地质与露天煤矿开发特征,分析了露天开采驱动下帷幕墙体建设对地下水系统控制的基本原理,得出帷幕墙体渗透能力越弱、厚度越大、与补给水体距离越近是帷幕墙减少露天采坑涌水的基本思路。将露天采矿疏排水与地下水系统数值仿真研究结合,对露天煤矿开采与帷幕墙建设对矿坑疏排水强度影响程度进行预测分析,模拟结果显示,采用针对主要涌水段的局部帷幕工程方案,地下水仍然以露天矿采坑为降落漏斗中心,区域流场形态基本未发生重大变化,在未帷幕区段地下水发生了强烈的侧向绕流现象,初期(300 d)矿坑残余涌水量较之现有矿坑排水量最大减幅 37.16%,而残余涌水量随时间增大趋势明显。按准全封闭型帷幕方案建墙后,地下水基本未发生绕流现象,矿井残余涌水量为先减小后增大的趋势,最大减幅达85.79%,且后期涌水量增加幅度不大,可见准封闭型帷幕建设方案较之局部帷幕方案对矿坑整体涌水量的减排作用显著。通过分析露天煤矿开采侧向帷幕控水规律,构建帷幕阻水条件下地下水系统仿真模型,评价帷幕截水减排效果,以期为露天矿区煤–水资源协调开发提供科学依据。

     

    Abstract: In the process of open-pit coal mining, drainage is an important aspect causing the loss of groundwater resources. Taking Yuanbaoshan open-pit coal mine in Chifeng City, Inner Mongolia as the research object, this paper analyzes the control principle of the curtain wall construction driven by open-pit mining on the groundwater system according to the hydrogeology of the study area and the characteristics of open-pit coal mine development. It comes to the conclusion that the weaker the permeability of the curtain wall, the greater the thickness, and shortening the distance from the recharge water body is the basic idea of reducing water inflow in open-pit mining. The numerical simulation research of open-pit mining drainage and groundwater system are combined to predict and analyze the influence of open-pit coal mining and curtain wall construction on the drainage intensity of the pit. The simulation results show that for the local curtain scheme of the main water inflow section, the open-pit pit is still taken as the center of the falling funnel, and the regional flow field has not changed significantly. In the section without a curtain, a strong lateral flow phenomenon occurs in the groundwater. The residual water inflow of the mine in the initial stage (300 d) reduces at most 37.16% compared with the drainage of the current mine, and the residual water inflow increases obviously with time. After the construction of the wall in the quasi fully closed curtain scheme, the roundabout flow phenomenon hardly occurs in the groundwater. The residual water inflow of the mine tends to decrease first and then increase with the maximum reduction of 85.79%, and the increase of water inflow in the later stage is not significant. It can be seen that the quasi closed curtain construction scheme has a significant effect on reducing the overall water inflow of the mine compared with the local curtain scheme. By analyzing the water control law of lateral curtain in open-pit coal mining, a simulation model of the groundwater system under the condition of water blocked by the curtain is constructed, and the effect of discharge reduction by the water interception curtain is evaluated, providing a scientific basis for the coordinated development of coal-water resources in open-pit mining areas.

     

/

返回文章
返回